بخطى ثابتة نحو القمة أعلن الدكتور حسان النعماني، رئيس جامعة سوهاج، عن تحقيق الجامعة إنجازاً جديداً في تصنيف التايمز العالمي للجامعات (THE World University Rankings 2026)، حيث تقدمت الجامعة في التصنيف المحلي لتحتل المركز الـ21 بين 36 جامعة مصرية مصنفة، مع حفاظها على موقعها ضمن الفئة العالمية (1201–1500) من بين 2191 جامعة على مستوى العالم، محققةً تحسناً ملحوظاً في عدد من مؤشرات الأداء الأكاديمي والبحثي.
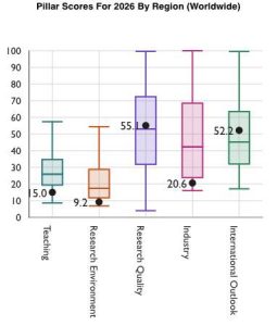
وأوضح رئيس الجامعة أن الدرجة الإجمالية لجامعة سوهاج ارتفعت من 30 نقطة في العام الماضي إلى 32 نقطة هذا العام، وهو ما يعكس تطوراً واضحاً في الأداء المؤسسي والبحثي. وأضاف أن الجامعة حققت تقدماً بارزاً في محور الواجهة الدولية (International Outlook) بحصولها على 52.2 نقطة، لتحتل المركز 834 عالمياً مقارنة بالمركز 842 العام الماضي، كما أحرزت تقدماً في محور جودة البحث العلمي بحصولها على 55.1 نقطة.
وأعرب “النعماني” عن فخره بهذا التقدم، مؤكداً أن ما تحققه الجامعة من نتائج إيجابية هو ثمرة لجهود مستمرة تبذلها إدارة الجامعة وأعضاء هيئة التدريس والعاملون والباحثون، في إطار رؤية طموحة تهدف إلى تعزيز جودة التعليم والبحث العلمي وخدمة المجتمع. مؤكدا ان الجامعة تعمل وفق خطة متكاملة لتطوير قدرات الجامعة وزيادة حضورها الدولي، بما يتماشى مع توجه الدولة في دعم الجامعات المصرية للوصول إلى مراكز متقدمة عالمياً.
ومن جانبه، أوضح الدكتور عمرو عبد الحميد، مدير مركز النشر العلمي بالجامعة، أن التحسن في محور النظرة الدولية يعكس نجاح استراتيجية الجامعة في بناء شراكات أكاديمية وبحثية مع مؤسسات مرموقة حول العالم، وزيادة حجم الأبحاث المشتركة والمنشورات العلمية في مجلات دولية ذات تصنيف مرتفع. وأضاف أن الجامعة تعمل حالياً على تنفيذ خطة طموحة لتطوير البيئة البحثية وتعزيز جودة المخرجات العلمية بما يضمن استدامة التقدم في التصنيفات المستقبلية.
يُذكر أن تصنيف التايمز العالمي (THE World University Rankings) يُعد من أكثر التصنيفات الدولية دقة وشفافية في تقييم أداء الجامعات، حيث يعتمد على خمسة محاور رئيسية هي: التدريس (30%)، البيئة البحثية (29%)، جودة البحث (30%)، النظرة الدولية (7.5%)، والصناعة (2.5%)، ويشمل آلاف الجامعات في أكثر من 100 دولة حول العالم، استناداً إلى 18 مؤشراً للأداء الأكاديمي والبحثي ونقل المعرفة.


